Influence Dynamics and Stagewise Data Attribution
By Lee et al.
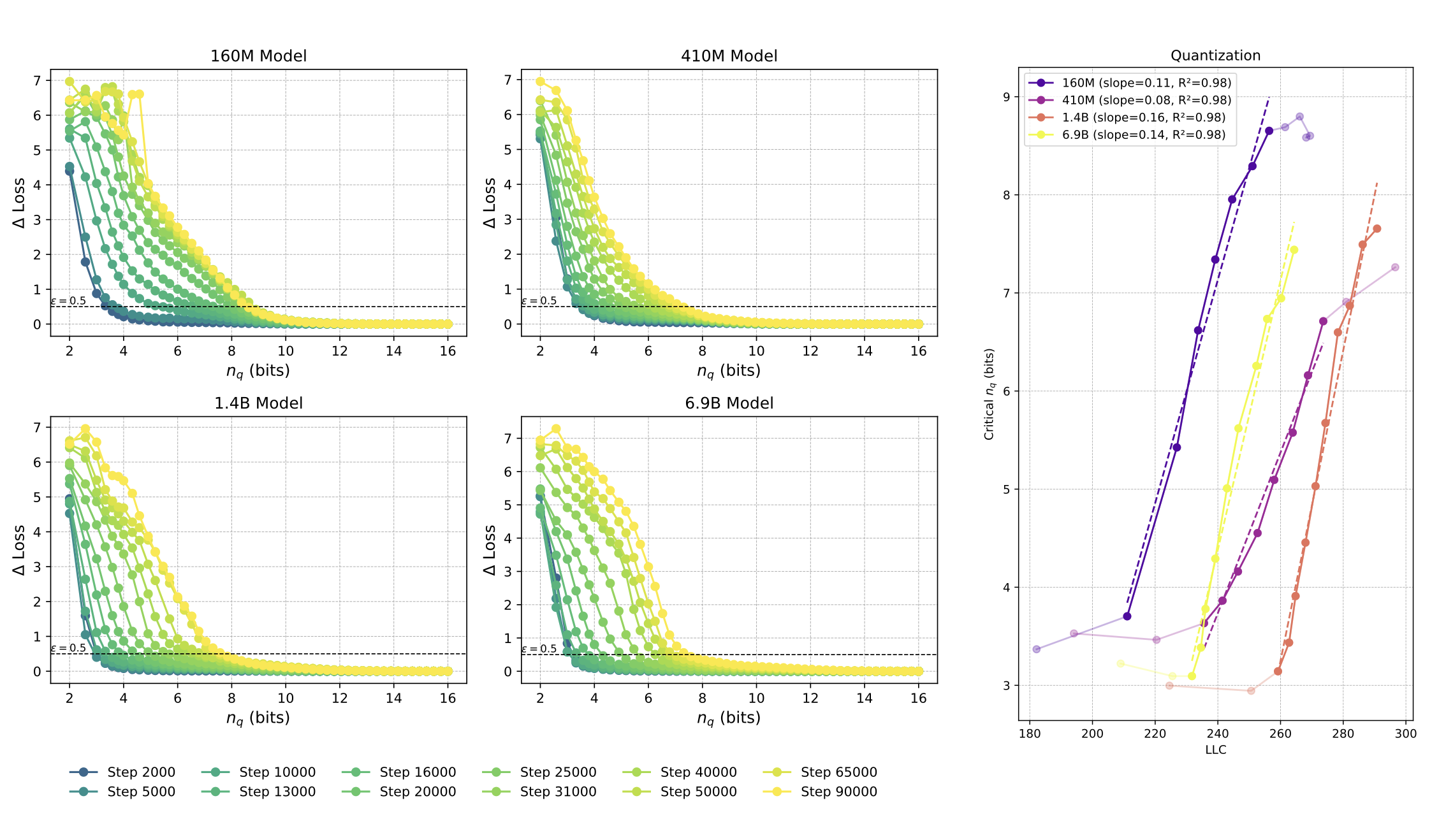
Current training data attribution (TDA) methods treat the influence one sample has on another as static, but neural networks learn in distinct stages that exhibit changing patterns of influence.


